一、调平原则
1.水准测量的基本原则
目的:测量两点之间的高度差。
仪器:水平仪
原理:利用水准仪提供的水平视线,观察竖立在两点之间的水准标尺,由一点(M点)的高程计算出另一点(N点)的高程。

2.水准测量的观测方法

(1)高差法:在M、N两点之间放置水准仪,分别在M、N两点竖立水准尺,用水准测量的水平视线分别在M、N两点读取读数A、B,则两点高差为

a:后视读数(后视观察读数);
b:前瞻阅读(前瞻观察阅读)。
男:后视点
n:前视点
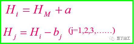
(2)视距法(单站多测法)
一次安装一台仪器测量多点高程的方法。首先计算水准仪的视线标高Hi,然后分别计算各点的标高:

Bj是第j个前视点的读数,Hj是第j个前视点的仰角。
这种方法常用于路线纵断面测量。

3.连续调平(路线调平)
应用前提:待测两点距离较远,高差较大,或者中间有障碍物。
方法:增加若干临时垂直点(称为转折点ZD),测量相邻两点间的高度差。取每个高度差的代数和,以获得起点和终点之间的高度差。

那么m点和n点之间的高度差是


4.提高精确度的观察方法
“中间法”观察:每站前后视线长度大致相等。

第二,水平
1.水准仪:提供水平视线(平行于大地水准面)的设备。
2.级别类型:
(1)稍微倾斜的水平
(2)自动安平水准仪
(3)电子水准仪
3.水平的表示方法(国内仪器)
DSN: D表示大地测量,S表示水准,N表示仪器的精度。n值越小,仪器的精度越高。如DS0.5,,表示每公里往返测得的高差偶然中位误差小于等于0.5 mm。
4.普通水准仪的分级和主要用途

5.关卡的主要结构
有三个主要部分:
(1)望远镜底座(2)水平仪(3)
望远镜是主要部件。下图显示了野生NAK-0X级别。

6.望远镜的组成及其成像原理
望远镜由四个主要部分组成:物镜、目镜、凹透镜和十字准线。
成像原理:物镜和凹透镜能在镜筒内形成倒置的、缩小的实像。通过调整凹透镜,图像可以清晰地形成在十字准线平面上。
(望远镜的放大倍数)

目镜的作用:放大,人眼通过目镜可以看到目标的小实像和与十字丝一起放大的虚像。
十字的作用:为瞄准目标提供标准。中心交点与物镜光学中心之间的直线称为视准轴,即视线。玻璃片上的上下短丝称为视距丝。水准测量就是视线水平时,水准尺的读数被中间的水平线截取。
准轴:十字准线的中心交点与物镜光学中心之间的线(水平仪的四个轴之一)。
竖轴:望远镜底部连接底座的轴的中心线。(水平仪的四个轴之一)

7.电平表
(1)水位的用途:
衡量视线是否水平,纵轴是否垂直的标志。
(2)水准测量仪器的类型:水准测量盒和水准测量管。
调平箱用于粗调平,调平管用于精调平。

(3)水准仪盒的轴线:
水平仪盒顶面中心的球面法线(水平仪盒的零点)(水平仪的四个主轴之一)。
(4)水准管道轴线:
穿过水平管弧的中心点(水平管的零点)并与顶面弧内壁相切的直线(水平的四个主轴之一)。
(5)水平灵敏度:
用分度值表示,即气泡移动2mm时,水平盒(管)轴线对应的倾斜角度。

8.水准尺
目的:观察水准测量的目标点。
类型:塔尺和板尺。塔尺可伸缩。塔尺一般长3米,由三节组成。尺子通常是2米。
标尺的刻度和标记:


精度对比:板尺精度高于塔尺。
使用方法:板尺通常用于三、四级水准测量,塔尺用于外部水准测量。
注意:使用前要认清标尺刻线与数字的位置关系,是正数还是负数,以及标尺底部的数值。对于塔尺,使用两段以上时,要注意两段接口位置是否对齐,卡簧是否卡死。
三。水平仪的用法

注意:如何识别和消除视差?

带脚螺旋水平仪

视差的根本原因:目标图像与十字线不重合!!!


杠杆读数法:
四。水准测量的实施
1.基准及其选择
水准测量必须有已知的水准点(即已知高程的点,用BM表示,如BM0、BM1等。).
水准点的选择:根据测区内水准点的分布、测点的分布、地形以及采用的路线形式。
水准点的类型:永久性和临时性。
基准:根据永久和临时基准制定。
1.基准及其选择
水准测量必须有已知的水准点(即已知高程的点,用BM表示,如BM0、BM1等。).
水准点的选择:根据测区内水准点的分布、测点的分布、地形以及采用的路线形式。
水准点的类型:永久性和临时性。
基准:根据永久和临时基准制定。
1.基准及其选择
水准测量必须有已知的水准点(即已知高程的点,用BM表示,如BM0、BM1等。).
水准点的选择:根据测区内水准点的分布、测点的分布、地形以及采用的路线形式。
水准点的类型:永久性和临时性。
基准:根据永久和临时基准制定。
2.水准路线布置

附加水准路线
(3)水准路线:从一个水准点出发,测量沿线各等待点,路线不会与原已知点闭合,也不会依附于另一个已知点。而是通过往返观测来检查观测差。理论上,往返高差应该是绝对值相等,符号相反。

(4)节点水准网:由若干单水准路线连接而成的图形。可分为附合水准网和独立水准网。


3.水准测量
(1)观察和记录:测量采用连续水准路线测量法。点与点之间的距离取决于能见度条件,读数清晰,保证视线在标尺范围内,一般为50 ~ 100m。注:被测点必须用直尺观察。记录每个站的后视读数和前视读数。注:记录方法

(2)检查测量结果。
1)计算检查:检查计算结果是否有错误:高差的计算结果;采用的公式是否正确等。
2)测站检查:及时检查现场各站的观测和记录。检查方法有:改变仪器高度法、双面尺法或双仪器法;
3)路线检查:根据计算出的闭合差,与规定的允许误差进行比较,判断观测精度是否合格。
平地

(l是水准路线的总长度km)
丘陵区

(n是站的总数)
4.水准测量的高程计算
(1)高差闭合差的计算
计算闭合误差和闭合误差允许值,并写在“路线检查”栏中。
(2)高差和闭合差的分布及高程计算
当导线闭合差满足技术要求时,可进行闭合差分配。分配原则:校正数V与站数N(或路线长度L)成正比,与闭合差符号相反,即

每个点的高程值

H0:已知点的高程,Hi为校正前的高程值。
五、水准测量误差来源及减少措施

六、水平检查
1.水平轴的几何关系
(1)水平盒轴平行于垂直轴;
(2)十字线和十字线垂直轴;
(3)水平管轴平行于照准轴。

2.检查方法:
(1)检查水准盒的轴线是否与竖轴平行:将水准盒中的气泡调平,然后将望远镜旋转180度。如果气泡仍然居中,则两个轴将是平行的。
(2)检查十字准线的横轴和纵轴是否垂直:将十字准线的左端对准某个目标,旋转水平微动螺钉,将目标移动到十字准线的右端。如果目标仍在十字准线上,则两个轴是垂直的。
(3)检查水准管轴线是否与照准轴线平行:将仪器架设在已知高差的两点之间,使仪器与两点之间的距离变宽。先观察一点的读数A,根据A计算出仪器到另一点的读数B,再观察读取得到B’。使用B’、B和两个测量点之间的距离DMN,我们可以计算两轴之间的夹角γ(以秒为单位)。如果γ大于20秒,则不平行。
七、其他用于水准测量的仪器。
1.精密水准仪
光学千分尺+精密水准标尺
2.自动安平水准仪
自动补偿装置,补偿瞄准轴轻微倾斜引起的误差。
3.电子水准仪(数字水准仪)
以及分光镜探测器+条纹编码标尺+图像处理电子系统。自动读数、记录和计算。
4.激光水平仪
激光发射器,测量激光的双向传播时间,计算两点之间的距离。
5.全站仪
光学理论+几何理论+计算机理论+计算方法。可在同一测站进行角度测量(水平角和垂直角)和距离测量(斜距、水平距和高差),并可自动计算出待测点的三维坐标。